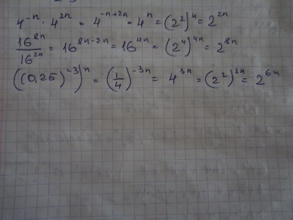
0 125 10 cdot 8 8