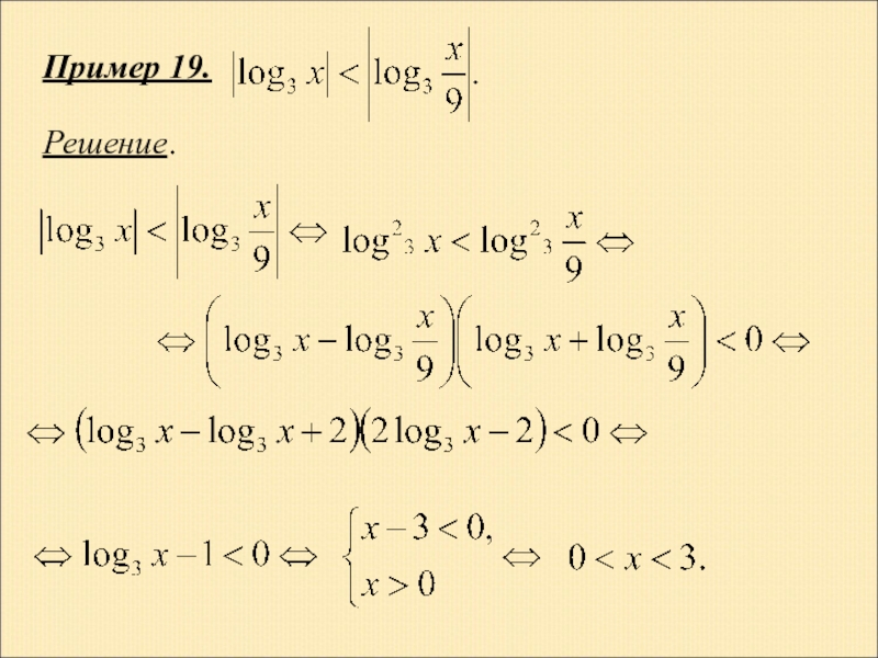
0 19 решение