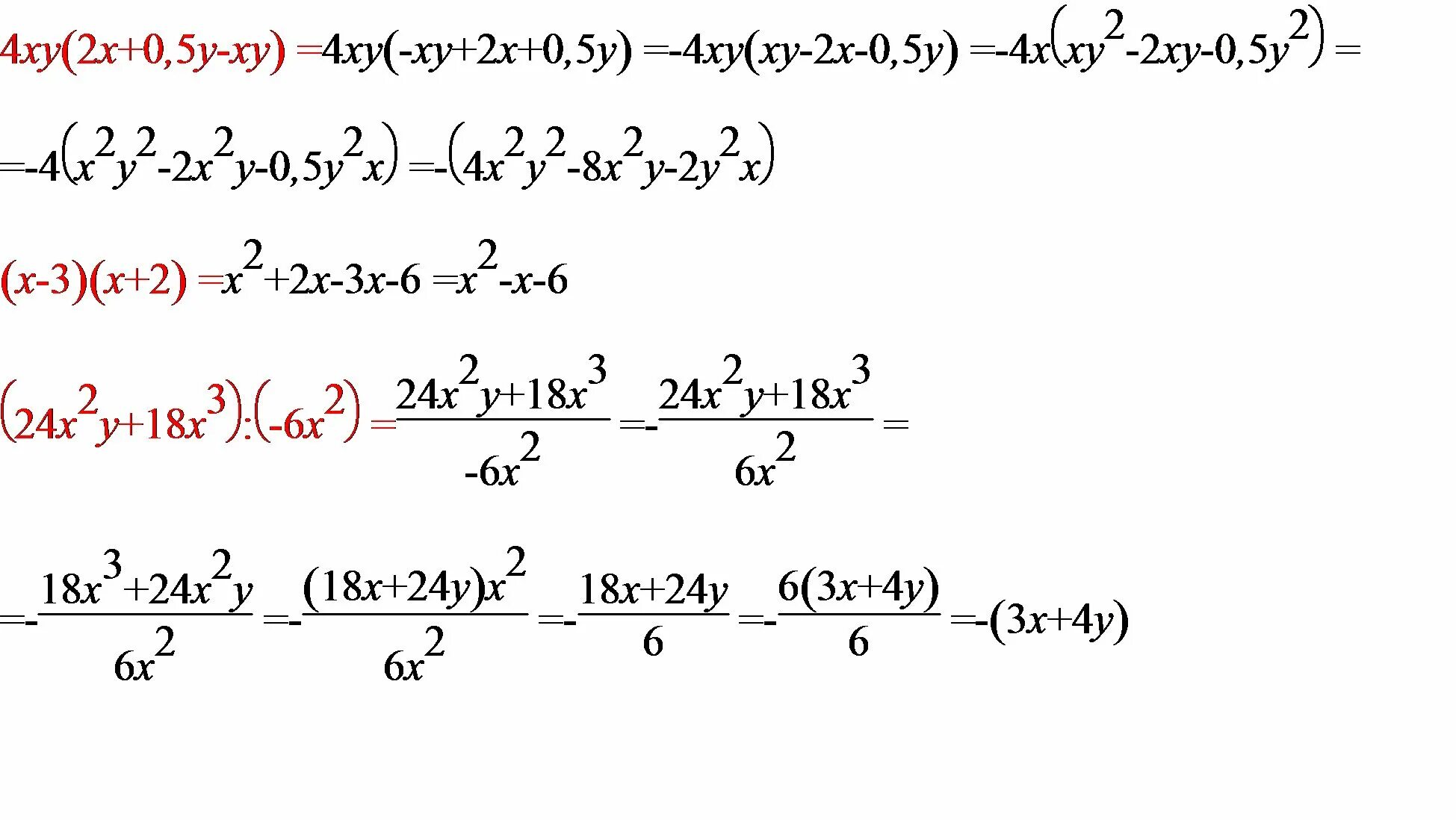
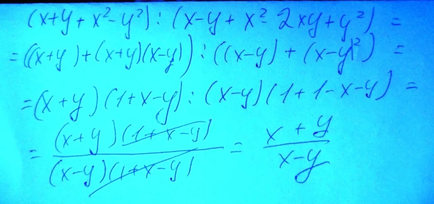
0 2x y 2 ответ