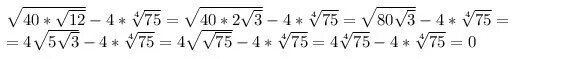
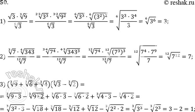
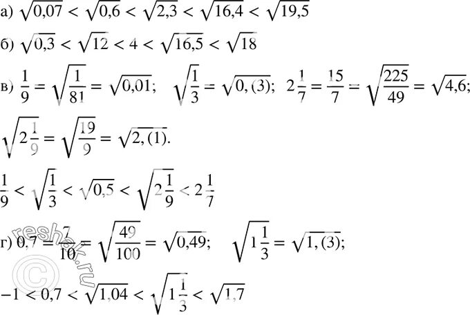
0 6 корень 12 2