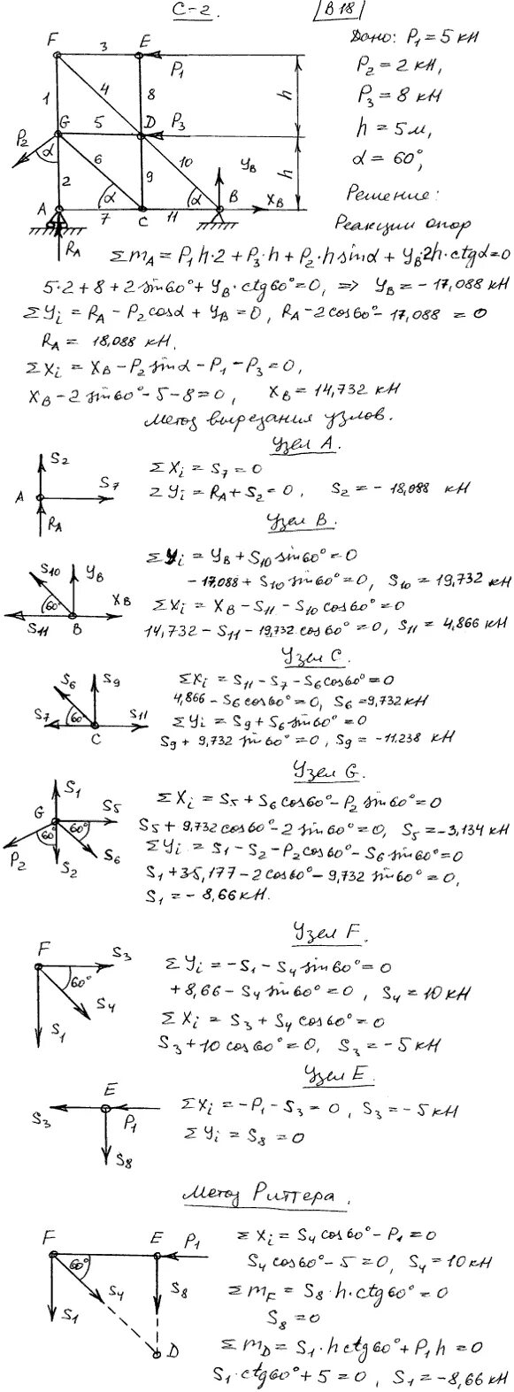
0 8 н кн