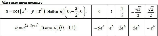
0 z 0 решение