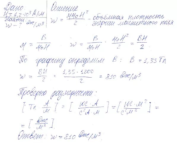
0.5 тл