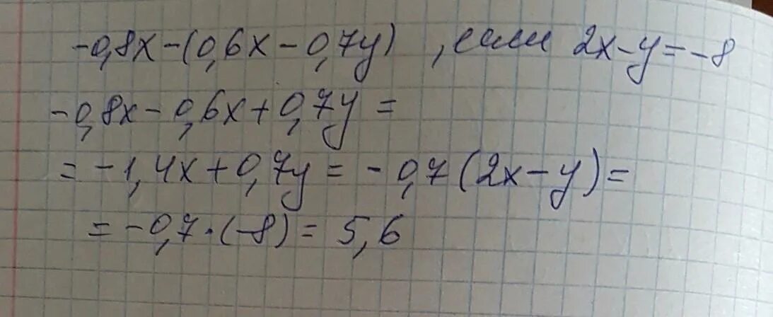
0.7 y