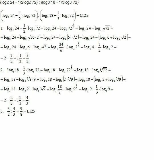
1 2 log 2 log2