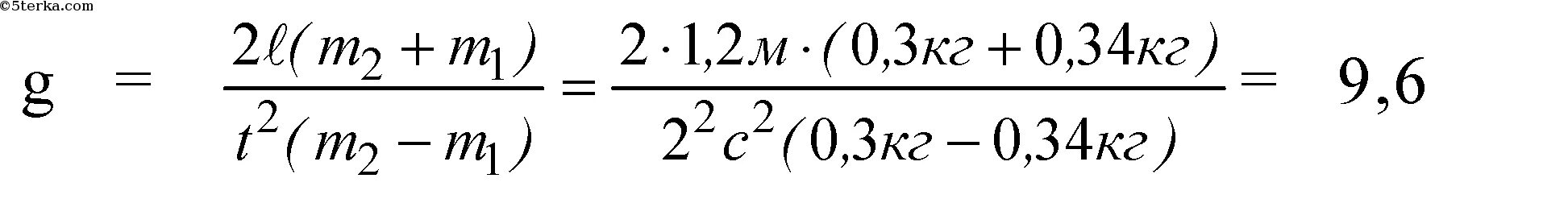
1 34 кг