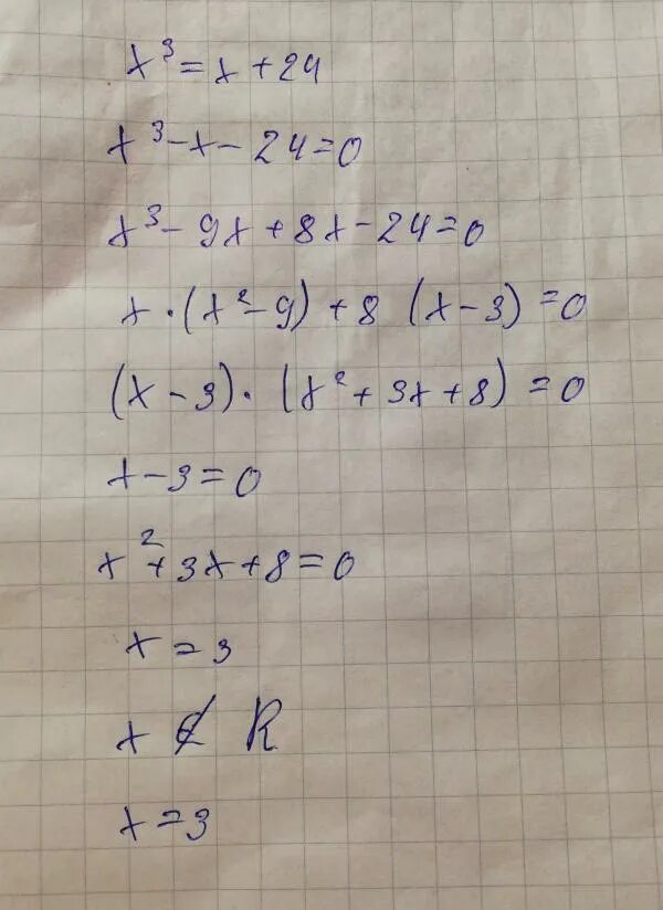
1 7x 3 2x 8