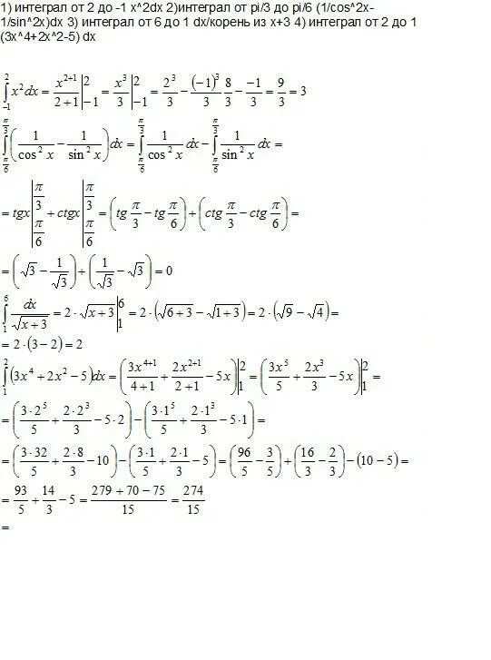
1 интеграл 0 dx