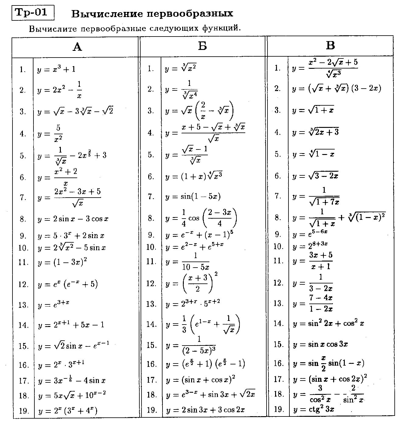
1 найти первообразную