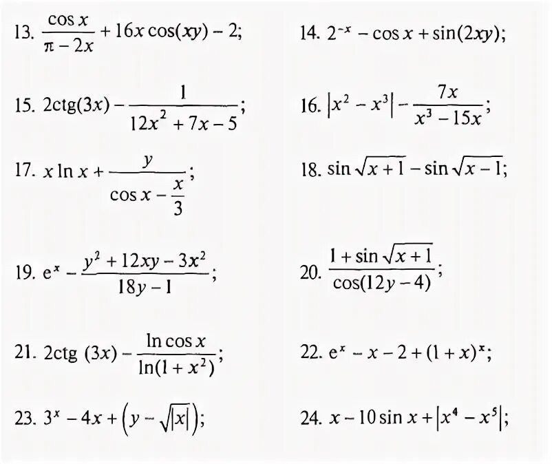
1 вычислить значение выражения по формуле