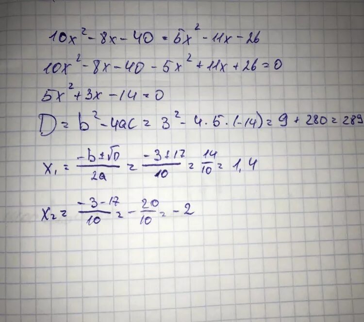
10x 3 5 x 3x