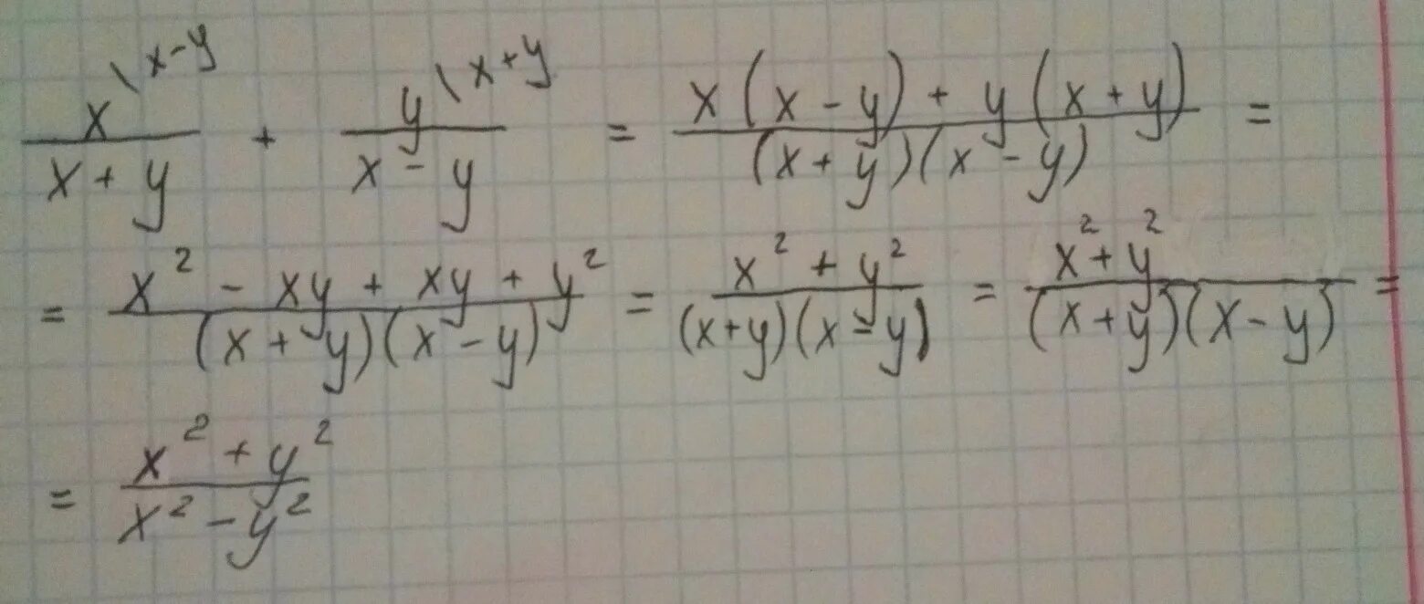
11 f x x 3