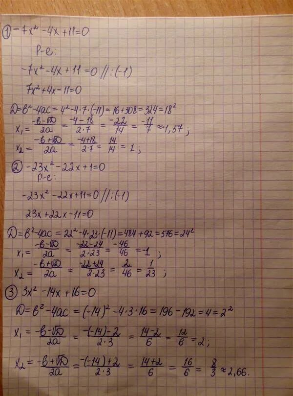
11х 2 4 х