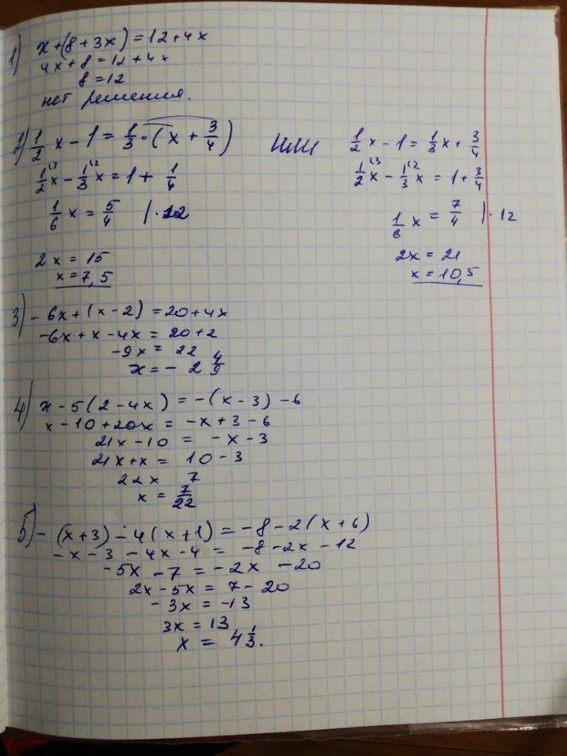
12 3 7x 4 2