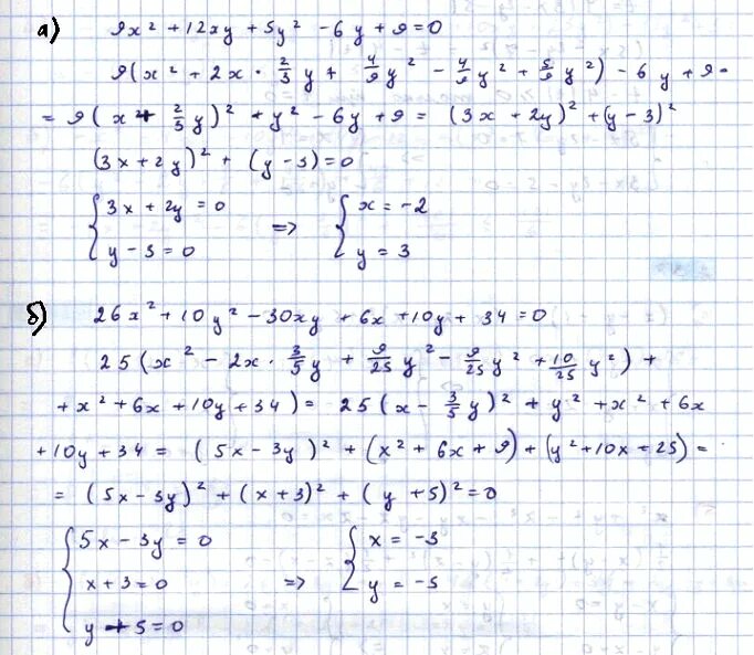
12 37 решение