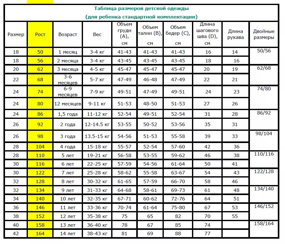
125 какой размер