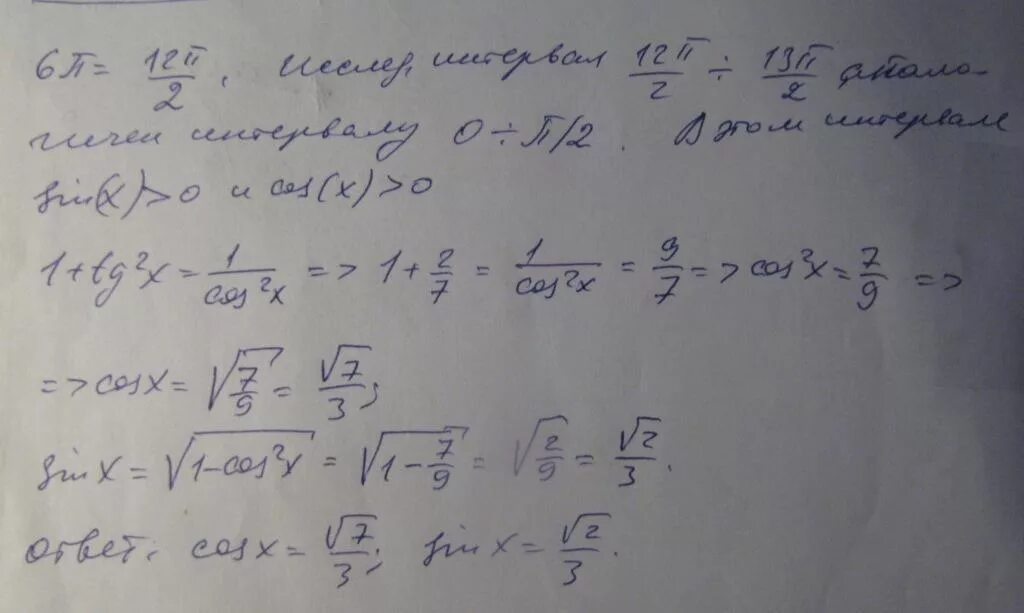
13 п у а ф