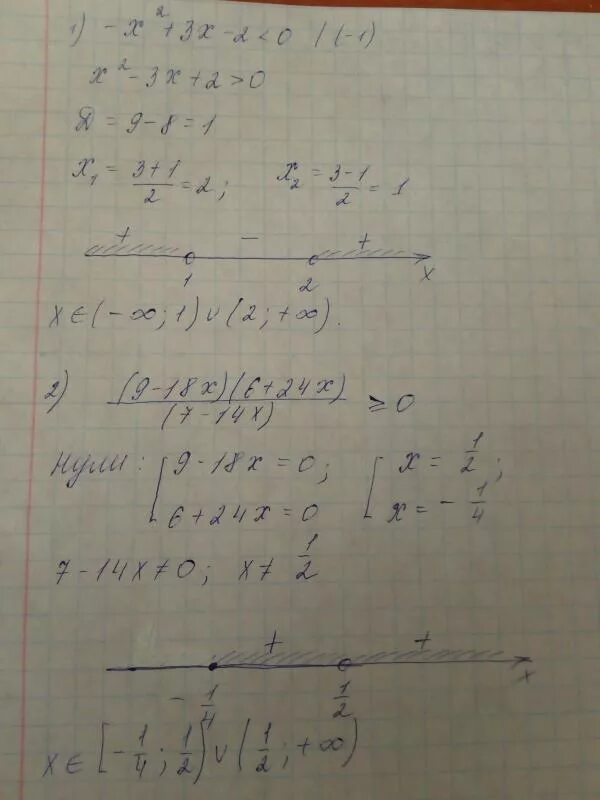
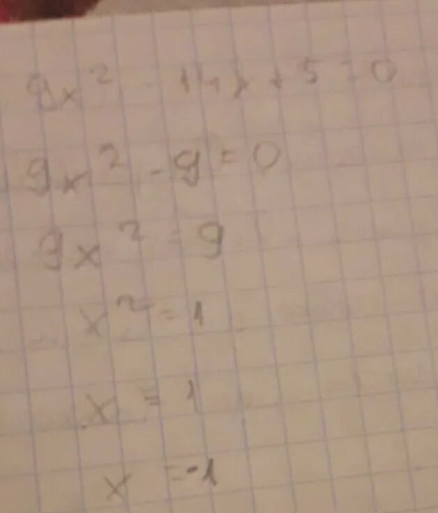
14х2 9х