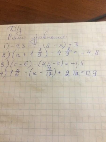
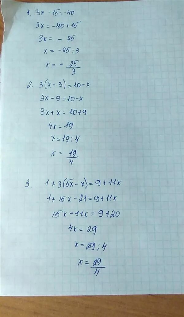
15 3 2 x 0 9