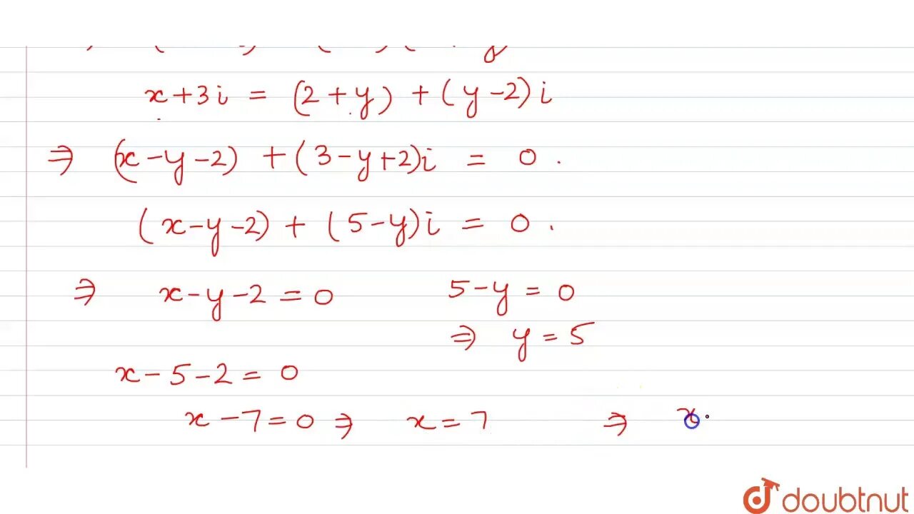
2 3 икс 2 икс 13