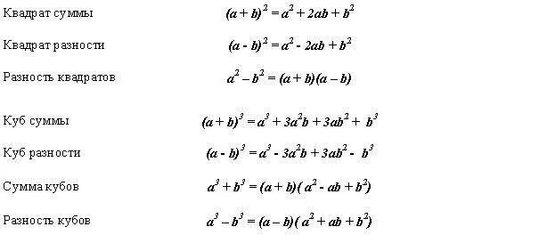
2 b в кубе