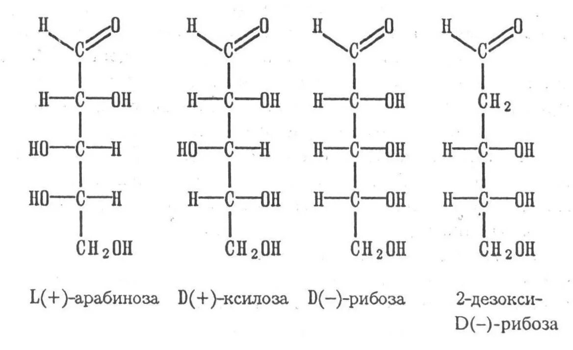
2 дезокси d рибоза 2ddr