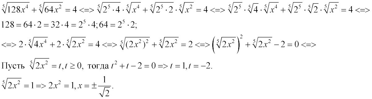
2 корень из 5 в 4 степени