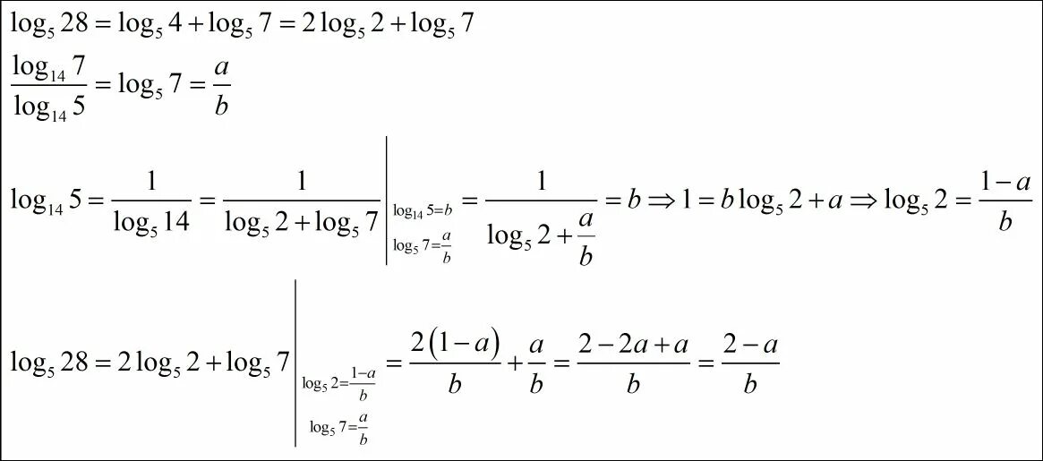
2 log2 7 1