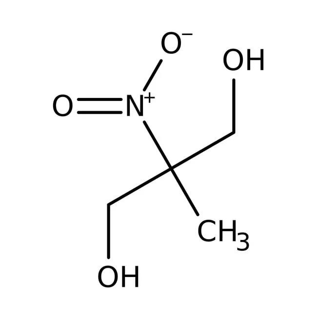
2 нитропропан