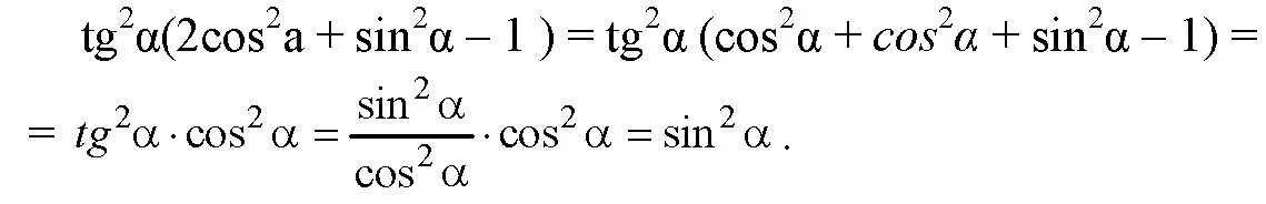
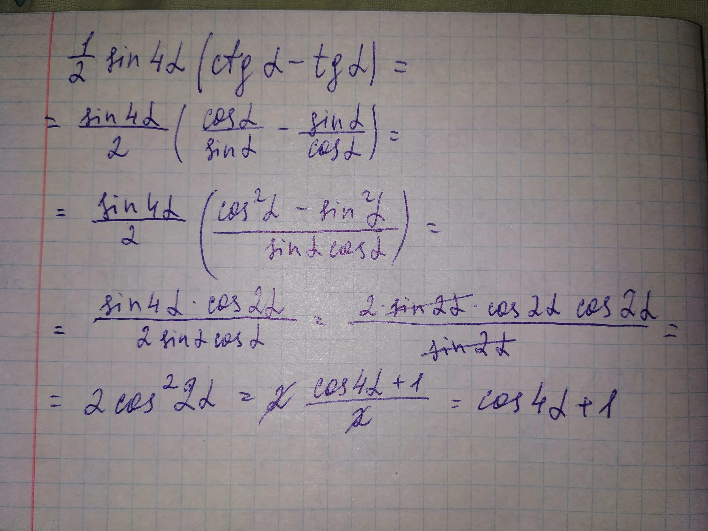
2 sin 2 17 1