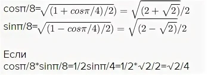
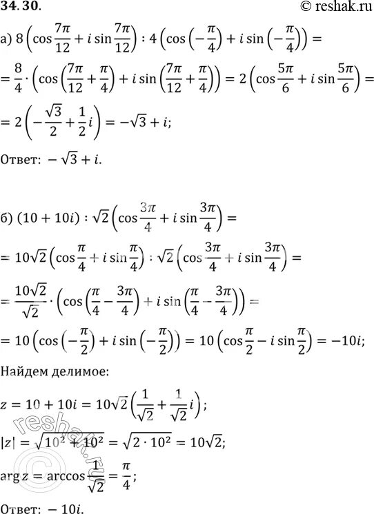
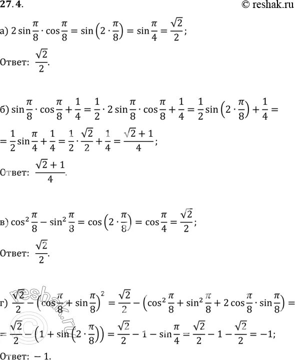
2 sin pi 8 cos pi 8