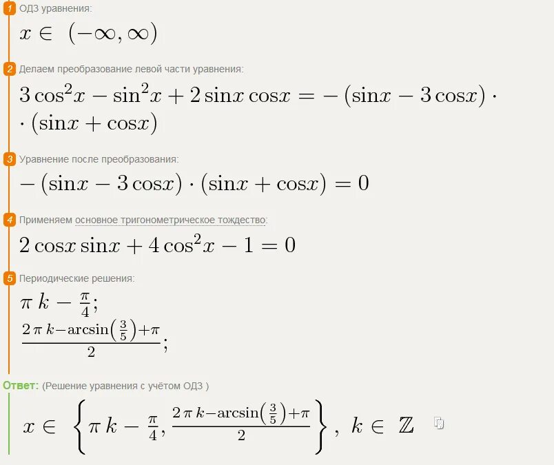
2 sinx 2cosx 3