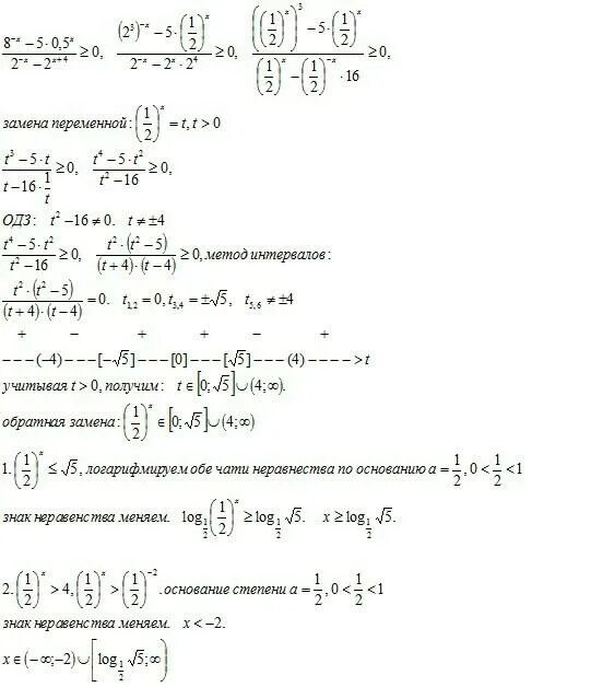
22 x 5 4 x 2 решение