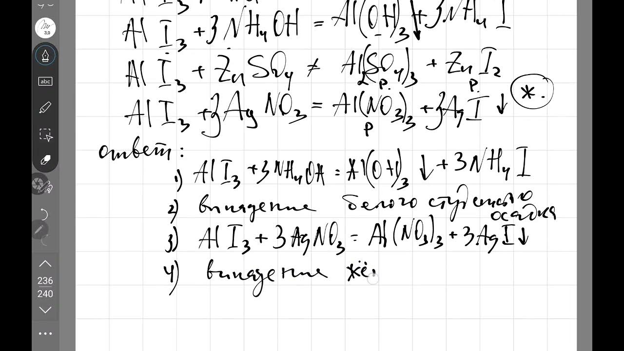
23 задание огэ по химии