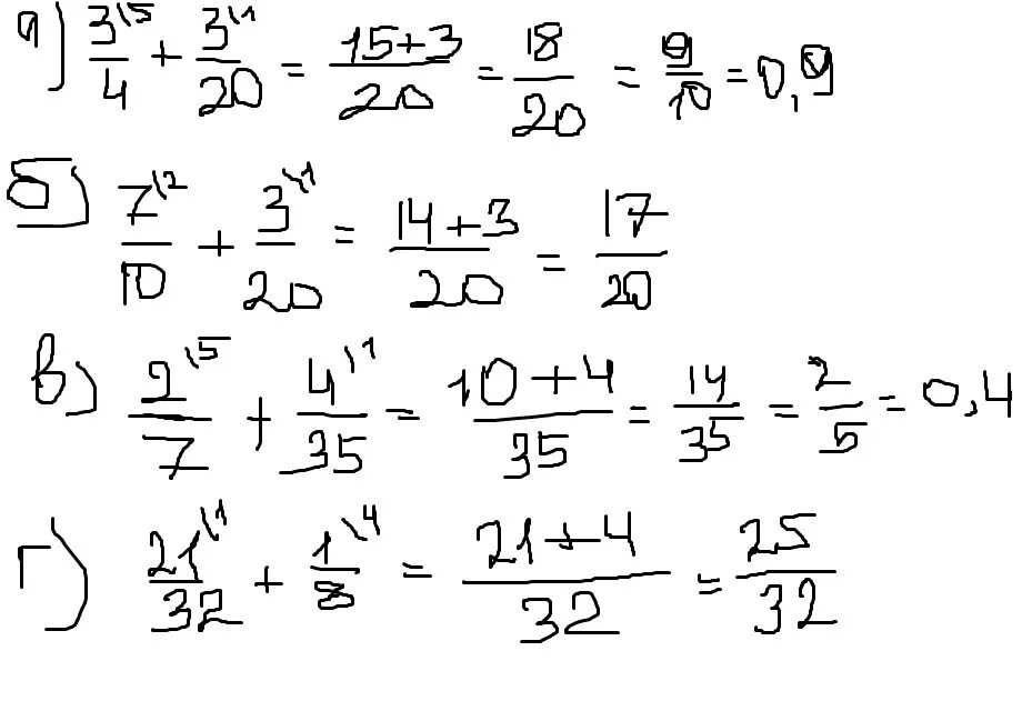
26 вычислите 93 13 cdot 6