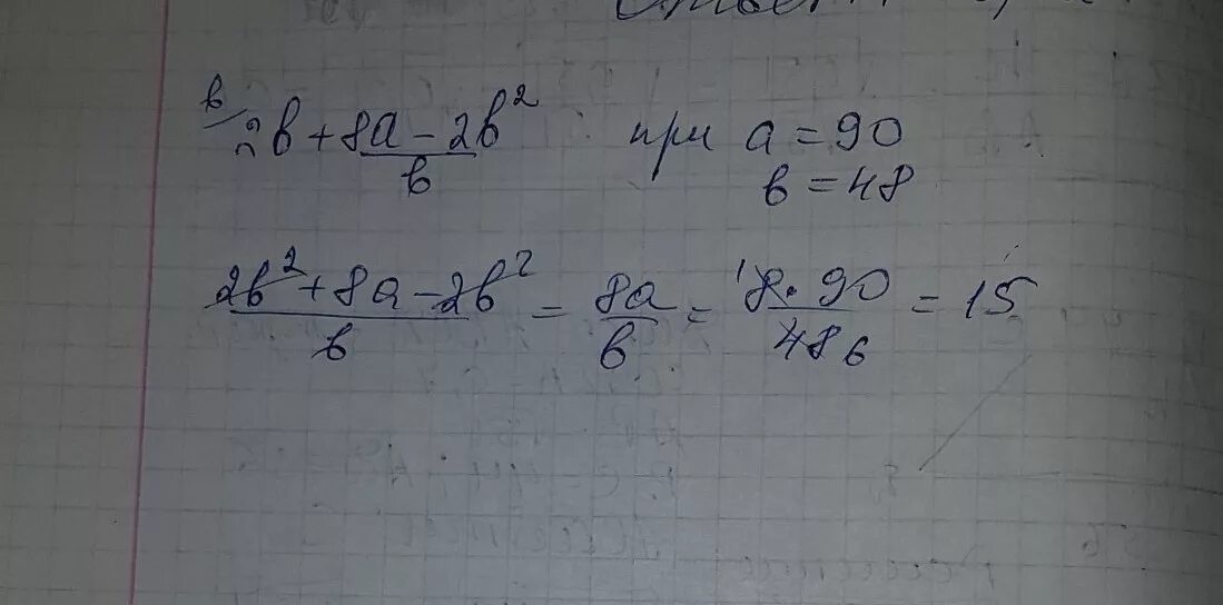
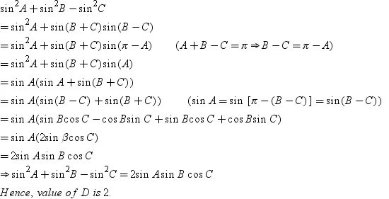
2a 2b c d