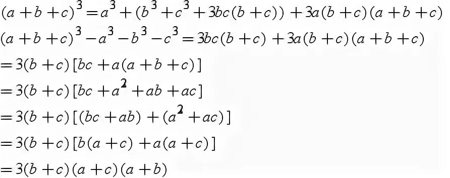
2a a b c