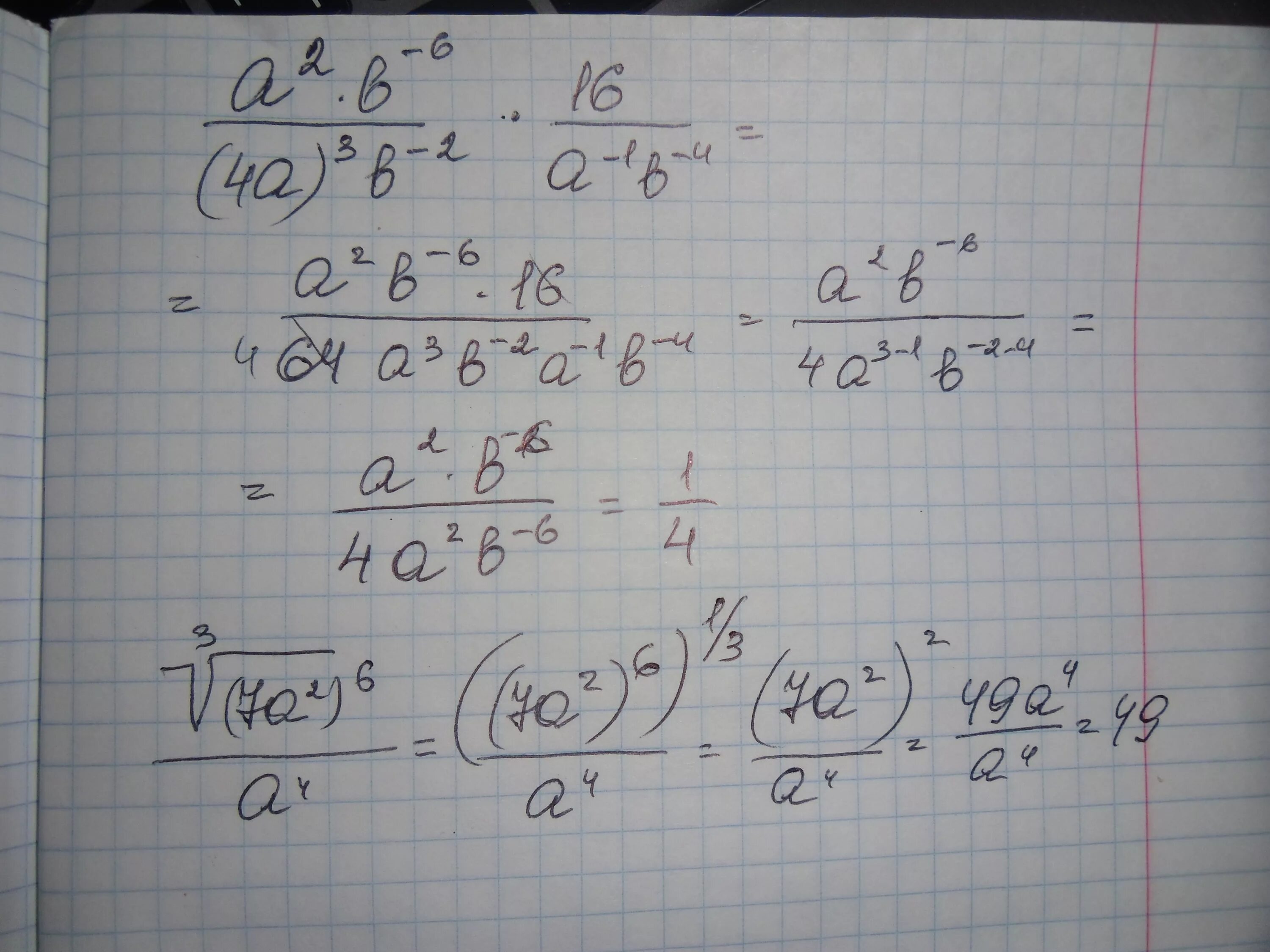
2b 6b 1 2b b 3