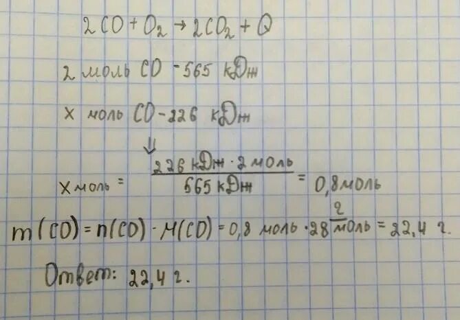
2co o2 2co2 565 кдж