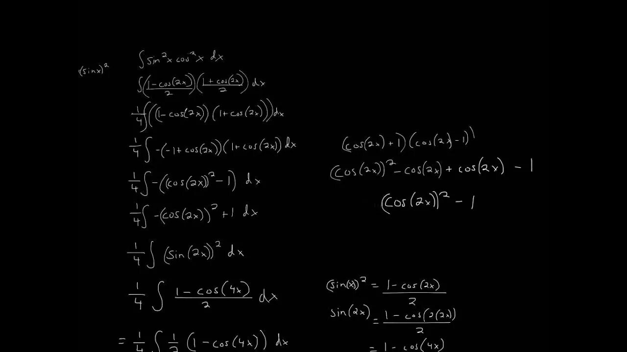
2sinx 2 cos x