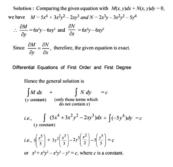
2x 2 xy