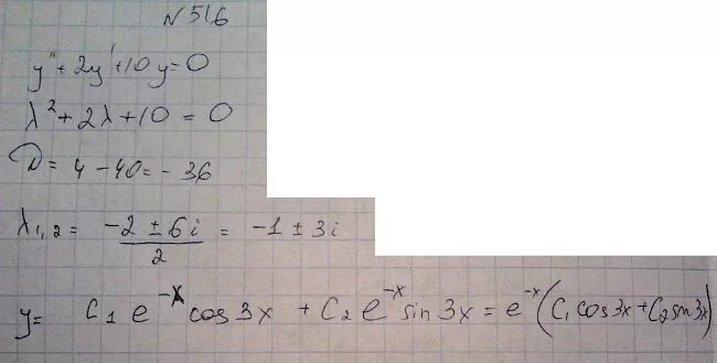
2y 16 0