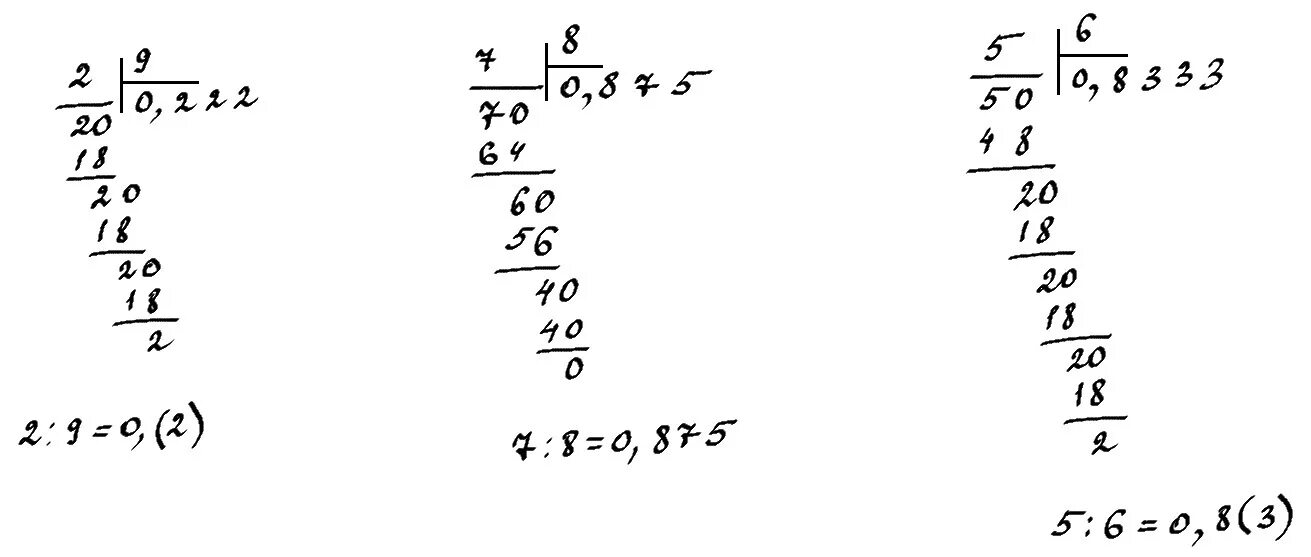
3 2 4 6 делим 6 4