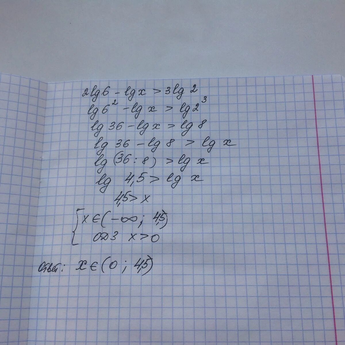
3 2x 6 0