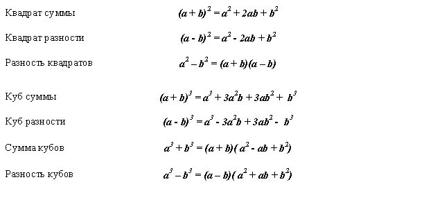
3 4 в скобках в кубе