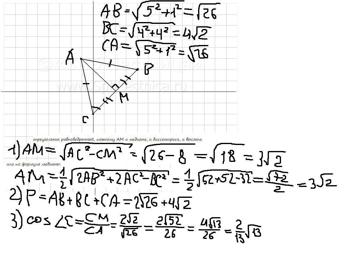
3 5 0 6 докажи