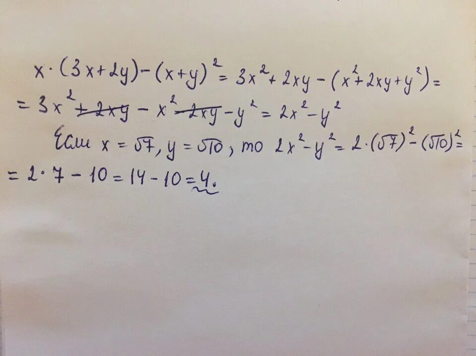
3 7x 2 при x 10