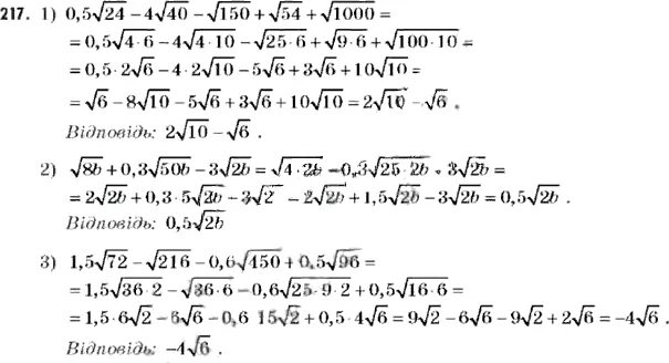
3 корень 150