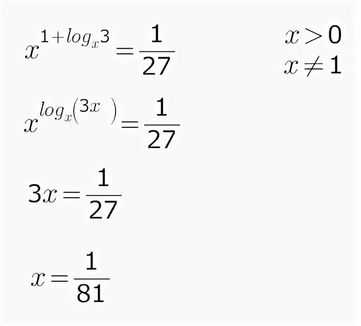
3 в степени модуль х