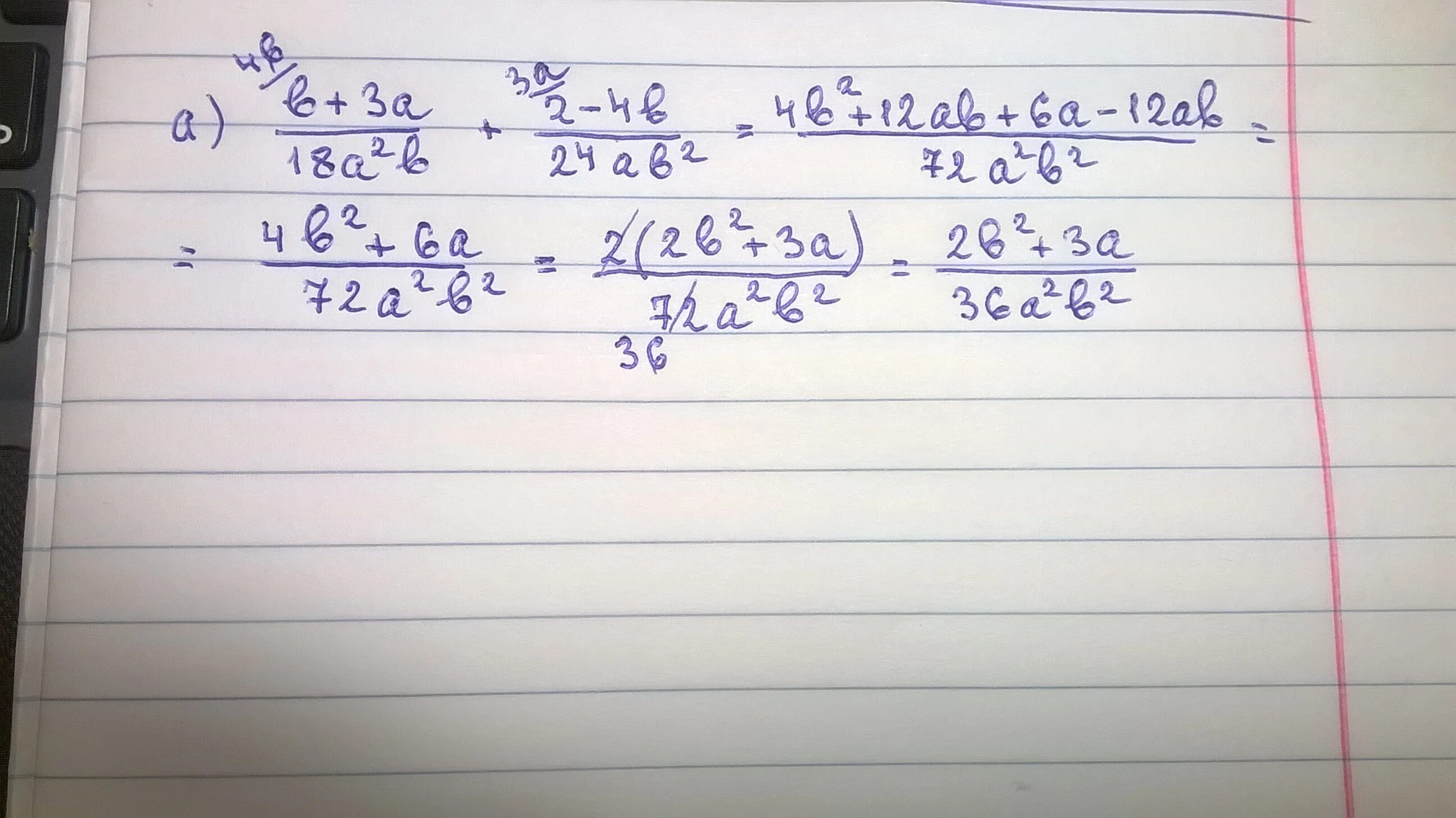
3а 4 2b 3 2